| Administratie | Alimentatie | Arta cultura | Asistenta sociala | Astronomie |
| Biologie | Chimie | Comunicare | Constructii | Cosmetica |
| Desen | Diverse | Drept | Economie | Engleza |
| Filozofie | Fizica | Franceza | Geografie | Germana |
| Informatica | Istorie | Latina | Management | Marketing |
| Matematica | Mecanica | Medicina | Pedagogie | Psihologie |
| Romana | Stiinte politice | Transporturi | Turism |
Alternativa Fredholm pentru operatori T= I-U cu U
compact
Expunerea ulterioara se bazeaza pe 2 leme simple
Lema IV.2.1. Fie A si B doi operatori liniari continui care aplica spatiul normat X in el insusi. Daca acesti operatori comuta iar operatorul C = AB are invers (bilateral ) atunci si operatorii A si B sunt inversabili
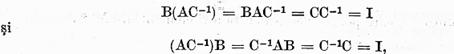
Demonstratie. Sa
demonstram intai ca operatorii A si
comuta, intradevar avem
![]()
Inmultind aceasta
relatie la dreapta cu
obtinem
Mai departe folosind faptul demonstrat ca
A si
comuta putem scrie

de unde
rezulta ca exista
Analog se demonstreaza ca exista ![]()
Observatie.
Daca operatorul
este continuu atunci
si operatorii
si
vor fi continui.
Lema IV.2.2. Fie U un
operator continuu in spatiul X . Multimea
caracteristica
a operatorului U
si multimea caracteristica
a operatorului
sunt legate prin relatia
![]()
adica ![]()
Demonstratie. Sa notam
Avem
![]()
Daca
atunci punand
![]()
rezulta
ca exista inversul continuu
Prin urmare pe baza observatiei la
teorema IV.1.1. exista inversul continuu ![]()
Presupunand ca X este spatiul Banach , ca in subcapitolul IV.1. sa consideram un operator liniar continuu U in X .
Teorema IV.2.3. Sa
presupunem ca exista un numar natural m astfel
incat operatorul
sa fie compact. Atunci pentru
operatorul
este valabila
alternativa Fredholm.
Demonstratie. Conform lemei V.2.2
multimea caracteristica
consta din puncte izolate, de aceea pe
cercul unitate al planului complex se afla doar un
numar finit de puncte ![]()
Daca p parcurge multimea tuturor numerelor prime numerele
![]()
sunt
distincte si de aceea pentru
suficient de mare
![]()
Se poate presupune ca m este
un numar prim si ca
. Sa scriem
descompunerea
![]()
unde
![]()
Ca urmare a relatiei (17)
operatorii
sunt inversabili si prin urmare
exista operatorul continuu
Dar atunci
![]()
Deoarece operatorul
este inversabil iar operatorul
este compact se poate aplica teorema IV.1.1 .
Teorema este demonstrata
Acest document nu se poate descarca
| E posibil sa te intereseze alte documente despre:
|
| Copyright © 2026 - Toate drepturile rezervate QReferat.com | Folositi documentele afisate ca sursa de inspiratie. Va recomandam sa nu copiati textul, ci sa compuneti propriul document pe baza informatiilor de pe site. { Home } { Contact } { Termeni si conditii } |
Documente similare:
|
ComentariiCaracterizari
|
Cauta document |