| Administratie | Alimentatie | Arta cultura | Asistenta sociala | Astronomie |
| Biologie | Chimie | Comunicare | Constructii | Cosmetica |
| Desen | Diverse | Drept | Economie | Engleza |
| Filozofie | Fizica | Franceza | Geografie | Germana |
| Informatica | Istorie | Latina | Management | Marketing |
| Matematica | Mecanica | Medicina | Pedagogie | Psihologie |
| Romana | Stiinte politice | Transporturi | Turism |
Modelarea solicitarilor electrodinamice ale contactelor electrice
Strictiunea liniilor de curent in zona contactelor elementare constituie cauza producerii fortelor electrodinamice de repulsie in contact, care actioneaza in sensul indepartarii pieselor de contact, una in raport cu cealalta. In regim de scurtcircuit, aceste forte au valori mari, imprimand contactelor tendinta de autodeschidere.
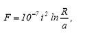
forta elementara de repulsie d 2 F , care se exercita asupra unui tor avand sectiunea radiala de dimensiuni infinitezimale (dr, d ) si continut in una din piesele de contact, se scrie sub forma:

Pentru forta F, de repulsie intre contacte

unde i este intensitatea curentului care parcurge contactul, R a-razele
corespunzatoare pieselor de contact, respectiv contactului elementar si in care sa
considerat 10-7 H/m-valoarea permeabilitatii magnetice a vidului.
Datorita fortelor electrodinamice de repulsie, forta rezultanta de apasare in contact scade incat, are loc si scaderea valorilor razei a; aceasta conduce la cresterea in continuare a fortei de repulsie, in cele din urma ajungandu-se fie la topirea si sudarea contactului, fie la autodeschiderea acestuia.
Acest document nu se poate descarca
| E posibil sa te intereseze alte documente despre: |
| Copyright © 2025 - Toate drepturile rezervate QReferat.com | Folositi documentele afisate ca sursa de inspiratie. Va recomandam sa nu copiati textul, ci sa compuneti propriul document pe baza informatiilor de pe site. { Home } { Contact } { Termeni si conditii } |
Documente similare:
|
ComentariiCaracterizari
|
Cauta document |