| Administratie | Alimentatie | Arta cultura | Asistenta sociala | Astronomie |
| Biologie | Chimie | Comunicare | Constructii | Cosmetica |
| Desen | Diverse | Drept | Economie | Engleza |
| Filozofie | Fizica | Franceza | Geografie | Germana |
| Informatica | Istorie | Latina | Management | Marketing |
| Matematica | Mecanica | Medicina | Pedagogie | Psihologie |
| Romana | Stiinte politice | Transporturi | Turism |
Comportarea rezolventei in vecinatatea valorilor caracteristice
Daca U este un operator compact , atunci rezultatelor teoremelor III.3.1 si III.3.4. li se adauga fapte mai fine , relative la comportarea rezolventei in vecinatatea unei valori caracteristice.
Un operator liniar continuu V va fi numit
finit-dimensional daca el
aplica spatiului X intr-un subspatiu finit-dimensional
Sa alegem in
un sistem complet de elemente liniar
independente
Prin definitie , pentru
arbitrar
![]()
Coeficientii
depind evident de x. Punand
ne convingem ca
functionalele
sunt liniare si continue.: liniaritatea
nu ridica nici un dubiu iar continuitatea rezulta din faptul ca
daca un sir de elemente ale unui spatiu normat finit-dimensional
converge catre zero atunci si fiecare coordonata tinde
catre zero.
Obtinem astfel
(18)
Reciproc orice operator V reprezentabil sub forma (18) va fi desigur finit-dimensional.
Sa remarcam ca un operator finit-dimensional este in mod necesar compact.
Sa consideram acum un operator compact U
si fie
o valoare caracteristica a sa. Este
variabila :
Teorema III.5.1. Operatorul U poate fi reprezentat sub forma
![]()
unde
este un operator finit-dimensional,
este compact iar multimea
caracteristica a operatorului
se compune doar din punctul
pe cand multime caracteristica a
lui
se obtine
prin inlaturarea punctului
din multimea caracteristica a lui U.
Demonstratie: Se poate considera
= 1(in caz contrar am
considera in locul lui U operatorul
U).In aceasta ipoteza,vom demonstra ca descompunerea
operatorului U in suma
indicata in teorema I.2.1.
indeplineste conditiile date.
Vom
folosi notatiile din teorema I.2.1. Sa verificam ca operatorul
are unica valoare caracteristica
Intradevar daca ![]()
si prin urmare , pe baza definitiei
operatorului ![]()
![]()
si
este valoarea caracteristica a
operatorului ![]()
Daca
![]()
pentru un
atunci deoarece
vom avea
si prin urmare
astfel ca
dar ![]()
In virtutea egalitatii (19)
![]()
ceea ce este posibil doar pentru ![]()
Astfel unica valoare caracteristica a
operatorului
este ![]()
Sa demonstram acum afirmatia
teorema asupra multimii caracteristice operatorului ![]()
Deoarece conform teoremei I.2.1. operatorul
are invers
1 nu este valoarea caracteristica a
operatorului
Fie
o valoare
catacteristica a operatorului U
si
un vector propriu
corespunzator . Daca cumva
atunci rationand ca si mai sus, am
obtine ![]()
De aceea in descompunerea
![]()
trebuie sa avem
In virtutea unicitatii
descompunerii (20) din relatia
![]()
obtinem
adica
este valoarea
caracteristica a operatorului ![]()
Invers , fie
o valoare caracteristica operatorului
si
este un vector propriu asociat . Deoarece
![]()
avem
adica
este valoarea caracteristica a
operatorului U.
Celelalte afirmatii ale teoremei sunt continute in teorema I.2.1.
Teorema este astfel demonstrata.
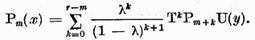
O imagine mai completa a comportarii rezolventei in vecinatatea unei valori caracteristice se poate obtine pe baza urmatoarei teoreme.
Teorema III.5.2. Fie
o valoare caracteristica a operatorului
U. Atunci intr-o vecinatate suficient de mica a punctului
are loc dezvoltarea

aici
r este rangul valorii caracteristice
; iar
operatorii
sunt finit-dimensionali; operatorul ![]()
Seria din numarul drept al relatiei (21) converge in spatiul de operatori B(X, X)
Demonstratie. Ca si in demonstratia teoremei
precedente, vom considera
Sa remarcam de la inceput ca ,
pe baza lemei I.1.2. rangul valorii caracteristice
este finit. Folosind notatiile teoremei
I.2.1. pe baza observatiei la aceasta teorema , vom observa
ca ![]()
Reprezentand elementul
sub forma
![]()
si asociind elementul x elementului
si elementul
vom construi
operatorii
, proiectorii spatiului
X pe subspatiile
In virtutea aceastei estimari (9) din
cap. I, acesti operatori sunt continui. Sa remarcam ca
![]()
Sa consideram un element arbitrar
. Elementul
este solutia ecuatiei
![]()
Inlocuind aici
si tinand cont ca ![]()
putem pune ecuatia (22) sub forma unui
sistem de doua ecuatii
![]()
Observand ca
, prima
ecuatie se poate scrie sub forma
![]()
unde am notat,
. In virtutea
teoremei I.4.1,
este valoare regulata a operatorului
.Daca
este suficient de mic, rezolvanta
admite dezvoltarea
![]()
unde seria din membrul drept converge in
spatiul
. Astfel putem
scrie
![]()
unde
si seria din membrul drept converge ca
si mai inainte in spatiul
.
Sa ne ocupam acum de a doua ecuatie (23)
Sa formam spatiul cat
![]()
si sa notam
omomorfismul natural al spatiului
. Spatiul
este evident
finit-dimensional. Sa alegem in el un sistem complet de elemente liniar
independente
si fie
elemente ale lui
astfel incat
Elementele
fac parte
din
. Pe langa
aceasta imaginile lor
sunt liniar independente deoarece daca
![]()
![]()
altfel spus,
![]()
si prin urmare
![]()
ceea ce este posibil doar pentru ![]()
Sa competam sistemul de elemente
cu elemente
astfel ca sa obtinem o baza in
. Sa alegem
apoi
astfel ca ![]()
Continuand sa rationam in acest fel
construim pentru fiecare ![]()
elementele
astfel ca

In plus elementele
![]()
formeaza pentru fiecare
baza in spatiul ![]()
Sa notam
![]()
Ca urmare a relatiilor (25)
![]()
Vom demonstra acum ca elementele :
![]()
formeaza un sistem complet de
elemente liniar independente in ![]()
Fie
![]()
Deoarece
prin aplicarea operatorului
obtinem
![]()
si prin urmare
Ne convingem analog ca si
ceilalti coeficienti
sunt egali cu zero. Sa consideram
acum un element arbitrar
Elementul
si de aceea exista coeficientii
![]()
astfel incat
![]()
De aceea
![]()
Continuand prin aceste rationamente asemanatoare obtinem in cele din urma ca exista
astfel incat
![]()
si prin urmare
![]()
Fie x un element arbitrar din
X . Elementul
, de unde
![]()
si dupa cum s-a observat in sectiunea III.5.
coeficientii
sunt functionale liniare. Daca
notam
![]()
atunci pe baza celor spuse
va fi operator continuu din X pe
iar

Luand in considerare relatia
vom scrie membrul drept al celei de a doua
ecuatii (23) sub forma
dupa care vom inlocui operatorul ![]()

Aplicand ambilor membri ai acestei egalitati operatorul
, tinand cont de
(28) obtinem
![]()
dar
![]()
de aceea ca urmare a incluziunii (26)

Folosind aceasta relatie putem scrie ecuatia (29) intr-o forma mai simpla
![]()
Din (30) gasim
![]()
si prin urmare , pe baza ecuatiei (31)

si in general pentru orice ![]()
![]()
Din egalitatile obtinute deducem


unde
sunt constante si
Introducand aceasta in (32) obtinem
![]()
unde operatorii
sunt combinatii
liniare de operatori de forma
si pe baza punctului b) din teorema I.2.1.
rezulta
ca operatorii
aplica spatiul X in
si prin
urmare , sunt finir dimensionali. Apoi din egalitatea (32) se vede ca
![]()
De aceea daca de exemplu
atunci din relatiile (25)
![]()
astfel incat ![]()
Din relatiile (24) si (33) obtinem dezvoltarea dorita a rezolventei
. Teorema este in intregime demonstrata.
Observatie. Daca U este operator
autoadjunct intr-un spatiu Hilbert,
teorema poate fi intrucatva precizata , deoarece in acest caz r = 1 si prin urmare , in dezvoltarea
(21) va aparea doar un singur termen cu exponent negativ al lui
anume
Acest document nu se poate descarca
| E posibil sa te intereseze alte documente despre: |
| Copyright © 2026 - Toate drepturile rezervate QReferat.com | Folositi documentele afisate ca sursa de inspiratie. Va recomandam sa nu copiati textul, ci sa compuneti propriul document pe baza informatiilor de pe site. { Home } { Contact } { Termeni si conditii } |
Documente similare:
|
ComentariiCaracterizari
|
Cauta document |