| Administratie | Alimentatie | Arta cultura | Asistenta sociala | Astronomie |
| Biologie | Chimie | Comunicare | Constructii | Cosmetica |
| Desen | Diverse | Drept | Economie | Engleza |
| Filozofie | Fizica | Franceza | Geografie | Germana |
| Informatica | Istorie | Latina | Management | Marketing |
| Matematica | Mecanica | Medicina | Pedagogie | Psihologie |
| Romana | Stiinte politice | Transporturi | Turism |
TEORIA FOTOELASTICITATII
LEGİLE ELASTİCİTĀTİİ
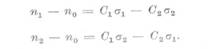
Determinarea starii de tensiune dintr-o piesa cu ajutorul fotoelasticitatii se bazeaza pe aparitia fenomenului de birefrigerenta accidentala la materialele transparente,atunci cand sunt supuse unei stari de tensiune.In stare netensionata materialul este izotrop din punct de vedere optic, prezentind in toate directiile acelasi indice de refraetie n0. Daca modelul este solicitat de un sistem de forte exterioare, va lua nastere o stare de tensiune care face ca materialul sa devina birefrigerent si sa-si modifice proprietatile optice Acest f enomen este cunoscut sub demimirea de legea calitativa a calitatii. Notind cu n si n2 indicii de refractie in lungul directiilor principale si cu no indicele de refractive al materialului in stare netensionata,Maxwell a stabilit relatia de legatura intre starea de tensine din model si efectul optic produs de aceasta
(1.)
Relatiile 1. sunt cunoscute sub denumirea de legea cantitativa a fotoelasticitatii sau legea efortului optic.Coeficientii C1 si C2 din aceste relatii se numesc coeficienti de efort optic.Scazand cele doua relatii obtinem cea de a doua forma a legii efortului fizic:
( )
Unde Cσ=C1+C2=coeficient de efort optic relativ
3.
Dupa cum s-a
vazut la polariscopul circular aranjat pentru
δ=kλ,k=ordinul de banda al franjei
Comparand aceasta relatie
cu cea scrisa anterior se obtine :
Unde σo=
=
Din
expresia (45) rezulta ca diferenta tensiunilor principale σ1- σ2=
=2τmax
intr-un punct din model, poate fi determinata cu usurinta daca se cunoaste ordinul de banda al
franjei din punctul respectiv si
Figura 15
Detaliul A
epruvetei. Incarcarea trebuie astfel realizata incit sa se asigure o centrare cit mai buna a sarcinii aplicate. In acest caz izocromatele produse in zona prevazuta cu umflatura sint simetrice fata de axa epruvetei (fie. 15. b).
b)etalonarea la incovoiere pura
Este metoda cea mai utilizata pentru etalonarea materialelor fotoelastice cu sensibilitate optica medie si ridicata.Forma epruvetei cat si dispozitivul pentru realizarea solicitarii de incovoiere pura sunt prezentate in figura Pe portiunea de bara solicitata la incovoiere pura, izocromatele apar sub forma unor linii paralele echidistante de o parte si de alta a axei epruvetei (fig. 18). Franjele paralele si echidistante arata ca repar-
Fig. 17.
|
fortaP(da/N) |
2 0 |
|
|
|
|
|
|
|
|
|
|
|
|
|
||
|
|
|
|
|
|
|
||
|
|
|
|
|
|
|
||
|
|
|
|
|
|
|
2 3 4 5 6 Fig. 16.
tizarea tensiunilor este aceeasi in toate sectiunile, iar intr-o sectiune tensiunile au o variabla liniara data de formula lui Navier. Tensiunea maxima diu epruveta este:
σmax=
=
(c)
Tinind seama de (45), rezulta
max=kσ (d)
Comparand relatiile (c) si (d) se obtine:
Incarcarea epruvetei trebuie sa se faca in acest caz astfel ca izocromata de un anumit ordin k, sa fie tangenta la contur (atit la partea superioara cit si la cea inferioara). In fig. 18 se arata modul de notare si distributia tensiunilor in sectiune.
Fig. 18.
c) Etalonarea cu disc comprimat axial Metodele de etalonare prezentate mai sus se refera la starea de tensiune dupa o singura directie. Etalonarea fotoelastica se poate face si in cazul starii plane de tensiune folosind un disc comprimat diametral. Tensiunile principale in centrul discului, cunoscute din teoria elasticitatii, sint:
σ1=
si σ2=-
|
|
unde P este sarcina, D diametrul discului si t grosimea (fig. 19, a). Cu ajutorul expresiilor (e) poate fi calculata diferenta σ1- σ2, Variind incarcarea P se determina proportionalitatea dintre ordinul de banda k si , obt-inindu-se astfel curba de etalonare (fig. 19, b).
|
|
|
|
|
|
|
|
|
|
|
|
|
|
|
|
|
|
|
|
|
|
|
|
|
z |
|
|
|
|
|
b |
||||
INREGISTRAREA DATELOR FOTOELASTICE
1. İNREGİSTRAREA İZOCLİNELOR
Izoclinele obtinute in polariscopul cu lumina polarizata plan sunt folosite pentru determinarea directiilor tensiunilor principale in orice punct al modelulii si pentru trasarea izostaticelor. Izoclinele de diferiti parametri, de regula sint trasate pe hirtie sau fotografiate. Pentru obtinerea izoclinelor dintr-un anumit interval, de exemplii de la 0° la 90°, polarizorul si analizorul (avind axele perpendiculare), se rotesc simultan din zece in zece grade sau din cinsprezece in cincisprezece grade, in functie de precizia impusa determinarilor. Izoclinele obtinute prin fotografiere de multe ori sint confuze. Fiind greu de precizat, punctele prin care trec, in practica, se traseaza prin puncte, pe hirtie. In acest scop pe suprafata modelului se traseaza o retea fina rectangulara, Pe o bucata de hartie separat se deseneaza conturul modelului avand trasata aceeasi retea de linii rectangular.O placa subtire dintr-un metal opac,avand in mijloc o gaura cu diametrul de (1,5 . 2)mm ,se asaza pe rand cu gaura in dreptul fiecarui nod al retelei d pe suprafata modelului.Se roteste simultan polarizorul si analizaorul pana cand in nodul examinat se obtine extinctie totala.Se noteaza pe hartie indreptul nodului respective unghiul cu care s-a rotit si polarizorul continuandu-se operatia si pentru celelalte noduri.Uniind apoi punctele de acelasi parametru se obtine spectrul izoclinelor.
Dupa cum s-a mai aratat,in polariscopul cu lumina polarizata plan,izoclinele se suprapun peste izocromate astel ca cele doua familii de curbe sunt greu de identificat.De aceea,pentru a se obtine numai izoclinele se recomanda utilizarea unui model confectionat dintr-un material cu sensibilitate optica scazuta cum este plexiglasul. Modelul se incarca foarte putin astfel ca sa se obtina cel mult o izocromata. Variind incarcarea, izocromata isi modifica pozitia, in timp ce izoclinele ramin neschimbate, fiind astfel identificate cu usurinta. In fig. 20 se prezinta cimpul izoclinelor obtinute pentru o saiba comprimata diametral.
Fig. 20 Din examinarea figurii 20 rezulta:
-izoclinele corespunzatoare tuturor parametrilor trec prin punctele izotrope A,B,C . . . .J;
-parametrul fiecarei izocline coincide cu unghiul pe care il face cu orizontala ,tangenta dusa la contur in punctul in care izoclina intercepteaza conturul;
-tensiunile tangentiale fiind nule in lungul axelor verticala si orizontala,aceste axe coincid cu directiile principale si sunt deci si izocline de parametru zero;
tensiunile din vecinatatea punctelor de aplicatie a sarcinii concentrate fiind tensiuni principale, directiile principale din aceasta zona vor varia de la 00 la 180° si, prin. urmare, izoclinele corespunzind fruturor parametrilor vor trece prin aceste puncte.
TRASAREA ZOSTAT CELOR
Avind reteaua de izocline se pot trasa izostaticele care reprezinta traiectoriile tensiunilor principale.Existand doua tensiuni principale rezulta doua familii de izostatice rectangular.Pentru trasarea traiectoriilor tensiunilor principale se allege un sistem de axe xOy (fig. 21). Pe axa Oy se aleg o serie de puncte P ,P , . .,Pn,la distant egala convenabil aleasa.Prin punctul P se duce dreapta
Fig. 21.
1 care face cu axa Ox unghiul α (identic cu parametrul izoclinei α Se noteaza cu A mijlocul distancei dintre izoclinele 1si masurata pe dreapta 1. Prin punctul A se duce dreapta 2 care face cu Ox unghiul Prin mijlocul distantei dintre izoclinele si (punctul B), se duce dreapta 3 care face cu orizontala unghiul . Apoi prin mijlocul distantei dintre izoclinele si masurata pe dreapta 3 (punctul C), se duce dreapta 4 care face cu orizontala unghiul s.a.m.d. Infasuratoarea dreptelor 1, 2, 3, 4, este o izostatica. Repetind aceeasi constructie, dar pornind din
punctele P2, P3, .., Pn, se obtine o familie de izostatice. Cealalta familie se obtine ducind curbe ortogonale pe izostaticele trasate prin procedeul descris mai sus.
3. INREGISTRAREA İZOCROMATELOR
Izocromatele se inregistreaza de
regula prin fotografiere, folosind polariscopul
cu lumina polarizata circular, care asa dupa cum s-a
aratat elimina izoclinele. O problema importanta care se ridica in acest
caz este citirea
cit mai precisa a ordinului de banda. In cazul folosirii polariscopumi cu camp intunecat si cu cimp luminat se pot determina
cu precizie atit ordinele de banda intregi (1, 2, 3,.. ., k), cit si
cele fracionare( 0,5 ; 1,5 ;2,5; . ![]()
Stabilirea ordinului izocromatelor (numerotarea), se face pornind de la punctele izotrope (singulare),care corespund izocromatei de ordinul zero. In absenta punctelor singulare, pentru numerotarea izocromatelor se are in vedere ca punctul de intersectie a doua muchii perpendiculare
Fig. 2
aflate pe un contur neincarcat, este un punct singular. In fig. 22 se prezinta un exemplu de numerotare a izocromatelor.
De multe ori este necesar sa se cunoasca cu precizie ordinul de banda intr-un punct situat intre doua izocromate. Determinarea ordinului de banda in acest caz printr-o simpla operatie de interpolare nu este corecta, deoarece asa cum rezulta din (40) intensitatea luminii variaza, dupa o lege sinusoidala. In fig. 23 se prezinta variatia intensitatii luminoa transmisa printr-o epruveta solicitata la intindere de o sarcina progresiva observata intr-un polariscop cu lumina polarizata circular. Diferenta intre ordonatele punctelor situate pe curbele trasate cu linie plina se desprind urmatoarele

Polariscop cu
trei metode de compensare :
a)compensarea cu epruveta de tractiune;
b)compensarea cu compensatorul Babinet-Soleil;
c)compensarea cu metoda Tardy.
Toate aceste metode de compensare necesita cunoasterea prealabila a tuturor directiilor principale in punctul in care se citeste ordinul de banda.
COMPESAREA CU EPRUVETA DE TRACTİUNE
Functionarea compensatorului cu epruveta de tractiuue se bazeaza pe faptul ca o stare plana de tensiune poate fi descompusa intr-o stare de tensiune hidrostatica si o stare de tensiune uniaxiala, asa cum rezulta din fig. 2 Dupa cum s-a aratat, starea de tensiune hidrostatica σl- σ2 = 0, corespunde ordinului de banda zero, in timp ce starea. de tensiune uniaxiala corespunde unei valori oarecare a ordinului de banda.
Fig. 24
Daca in fata modelului aflat in polariscop se plaseaza pe directia σ2, o platbanda din acelasi material si de aceeasi grosime, se poate reduce intirzierea intre cele doua componente ale luminii care traverseaza modelul, prin tensionarea epruvetei cu σl- σ Intirzierea este redusa la zero (compensare totala), atunci cind imaginea epruvetei privita prin analizor se intuneca (fig. 4 ). Pentru o determinare mai exacta a ordinului de acest tip de compensator este recomandat sa fie folosit in lumina alba.

Fig. 25
In fig. 26
se prezinta schematic un compensator cu epruveta de tractiune. Epruveta E, este
montata intr-un inel rigid
Pentru determinarea ordinului de banda intr-un punct se procedeaza astfel:
se determina parametrul izoclinei in punctul respectiv utilizind lumina alba polarizata plan;
-se asaza modelul in polariscopul cu lumina polarizata circular,utilizind sursa de lumina alba;
-se fixeaza compensatorul cu epruveta orientata in lungul uneia din directiile tensiunilor principale determinate in punctul considerat din model;
-se incarca compensatorul pina cind se observa, pe epruveta o banda intunecata marginita de doua benzi galbene intr-o parte si cealalta.Ordinul de banda in epruveta este acelasi cu cel din model. In cazul in care nu se obtine banda intunecata insemneaza ca compensatorul a fost orientat pe directia σ si este necesar sa se roteasca cu 90°.
Notand cu P sarcina cu care a fost incarcat compensatorul ,cu n si h dimensiunile transversal ale epruvetei si tinand seama ca in cazul epruvetei σ se poate scrie:
(52)
Din (45) si (46),avand in vedere ca σ2=0 rezulta k=σ1h/σ'o (53)
Unde σ'o=
Aceasta metoda de compensare pe langa faptul ca permite determinarea valorilor fractionare ale ordinului de banda dintr-un punct al modelului,mai da posibilitatea identificarii tensiunilor σ si
5.COMPENSAREA CU COMPENSATORUL BABINET-SOLEIL
Metoda de compensare Babinet-Soleil consta in introducerea pe langa model,in campul polariscopului cu lumina polarizata circular,a unei alte surse de birefrigerenta.In fig.27 se prezinta suprapunerea efectelor optice produse d ecele doua surse de birefrigerenta.Compensatorul Babinet-Soleil consta din doua lame de cuart L1 si L2,una de grosime constanta t1,iar cealalta de grosime variabila t2,fiind alcatuita din doua parti in forma de pana.Efectul optic produs de cele doua pene de cuart este aditiv si proportional cu grosimea totala.Una dintre penele de cuart este fixa,iar cealalta se poate deplasa in lung prin rotirea unui surub micrometric esalonat S,realizandu-se astfel variatia grosimii t2 a lamei.Cuartul este un material care prezinta birefrigerenta permanenta.
Cele doua lame de cuart L si L2 sint montate cu axele optice perpendicu-
Fig. 27
lare, astfel ca in mod normal cind lama L2 are grosimea maxima t , se obtine extinctia totala.Intirzierea totala produsa de compensator cind este introdus in polariscop poate fi variata continuu prin modificarea grosimii lamei t2 cu ajutorul surubului micrometric t Cind t1 = t2 intarzierea impusa
este zero, iar cind compensatorul mareste sau micsoreaza intirzierea rezultanta. In acest caz se recomanda sa se foloseasca lumina monocromatica.
Pentru determinarea ordinului de banda fractionar cu acest instrument se procedeaza astfel:
-se determina directiile tensiunilor principale in punctul considerat din model;
-se plaseaza compensatorul in polariscop in fata modelului in dreptul punctului considerat, cu axa optica paralela cu directia tensiunii ;
-se roteste surubul micrometric pina cind se obtine extinctie totala in punctul respectiv. Citirile facute pe scala surubului micrometric sint proportionale cu ordinul de banda din punctul cercetat.
Sa presupunem
ca punctul in care urmeaza sa fie determinat ordinul de banda (notat cu A in fig. 28) se afla intre izocromatele de
ordinul 3 si 4, iar
In felul acesta ordinul de banda in punctul A poate fi determinat cu o precizie de trei zecimale.Metoda de compensatie Tardy este cea mai folosita in practica pentru determinarea ordinului de banda intr-un punct din model, deoarece nu necesita echipament sau instrumente auxiliare. In acest caz se folosese elementele optice ale polariscopului circular. Sa presupunem ca elementele polariscopuhii sint aranjate pentru cimp intunecat si ca in jurul punctului A, in care urmeaza sa se determine ordinul de banda, se observa franjele din fig. 28. De asemenea, se considera ca directiile tensiunilor principale din punctul A aU fost determinate anterior si sint cunoscute. Pentru determinarea ordinului de banda in punctul A, se procedeaza astfel :

6.COMPENSAREA PRIN METODA TARDY
-se roteste intreg sistemul optic al polariscopului (polarizor, analizor si ambele lame sfert de unda), mentinindu-se aceeasi pozitie relativa intre ele, pina cind axele polarizorului si analizorului se aliniaza cu axele tensininilor principale din punctul A (in acest caz franjele observate nu se modifica) ;
se roteste analizorul cu n grade pina cind se obtine extinctie totala, astfel ca banda de ordinul 3 sa se deplaseze spre punctul A. Ordinul de banda in acest caz se modifica cu n/180 din valoarea intreaga, astfel ca ordinul de banda corespunzator punctului A va fi,
kA=3+(n/180)
Aceasta valoare poate fi verificata daca rotim analizorul in sens invers cu m grade, pina cind se obtine extinctia totala, astfel ca franja de ordinul 4 sa se deplaseze spre punctul A. In acest caz,kA=4-
Pentru verificare trebuie ca 3+
Dupa cum se observa aceasta metoda este foarte simpla si rapida permitind determinarea cu precizie a ordinului de banda in orice punct al modelului. Precizia acestei metode depinde de calitatea lamelor sfert deunda cu care este echipat polariscopul.
7. MULTİPLİCAREA ORDİNULUİ DE BANDĀ
Metodele de compensare folosite pentru determinarea valorilor frac-tionare ale ordinului de banda care au fost prezentate mai sus, prezinta doua neajunsuri : 1) necesita determinarea prealabila a directiilor tensiunilor principale in punctele de interes, 2) furnizeaza informatii in puncte discrete, reducind astfel fotoelasticitatea la o metoda de analiza punct cu punct.
Utilizind un sistem de semioglinzi, D. Post a stabilit o tehnica noua de compensare care permite determinarea simultana cu precizie, a valorilor fractionare ale ordinului de banda in toate punctele modelului. In acest scop polariscopul standard cu lumina polarizata circular a fost modificat asa cum rezulta din fig. 29.
Polariscopul este prevazut cu doua lentile de cimp L1 si L2 care fac ca modelul sa fie traversat de un fascicul de raze paralele si totodata, au rolul de a focaliza intr-un plan razele transmise prin semioglinda.

Modelul fotoelastic este asezat intre doua semioglinzi Sl si S2 dintre caire una (S ) este perpendiculara pe axa polariscopului iar cealalta (S2) este usor inclinata. Efectul optic produs de semioglinda inclinata S asupra luminii care traverseaza modelul in cele doua sensuri este prezentat in fig. 30. Dupa cum se observa, fieoare raza de lumina iese din semioglinda S2 sub un anumit unghi care depinde de numarul de traversari ale modelului. Astfel, raza 1 traversind modelul o singura data se transmite prin semioglinda S2 sub unghiul 0°, raza 3 traverseaza modelul de trei ori si se transmite prin semioglinda sub unghiul 2φ, raza 5 traverseaza modelul de cinci ori si se transmite sub unghiul 4 , s..a.rn.d. Deoarece diferitele raze de lumina care ies din semioglinda S2 sint inclinate sub diferite unghiuri fata de axa polariscopului, este posibil ca fiecare raza sa fie izolata.In acest sens razele sunt focalizate in diferite puncte situate in planul focal al lentilei L Pentru a izola imaginile celorlalte puncte, de regula, se f oloseste o diafragma care permite vizualizarea imaginii corespunzatoare unui anumit factor de multiplicare. Astfel in fig, 29 aparatul defotografiat este aranjat sa fotografieze o imagine a modelului in care franjele izocromate sint multiplicate de 3 ori (n=3).In figura 31 se prezinta imaginea unui model la care franjele izocromate au fost multiplicate de trei respectiv de cinci ori.
|
|
Fig. 30.
Franjele izocromate corespunzatoare date de razele 1, 3, 5, etc. pot fi fotografiate atit in cimp luminat cit si in cimp intunecat. Se considera, de exemplu ca se fac fotografii in cele doua cimpuri pentru razele 1, 3 si 5. Franjele inregistrate prin fotografierea imaginii I in cele doua cimpuri vor reprezenta valorile ordinului de banda in succesiunea : k =0 ;1/2;1;3/2;2;5/2 etc.cele corespunzatoare imaginii III vor da k=0;1/6;1/3;1/2;2/3;5/6 etc,iar cele obtinute pentru imaginea V vor da k=0;1/10;1/5;3/10;2/5;1/2 etc.Suprapunind datele inregistrate din aceste determinari se poate determina valoarea ordinului de banda cu mare precizie in toate punctele modelului.
Dupa cum se vede in fig. 30 lungimea drumului pe care il strabate lumina in modelul fotoelastic depinde de unghiul de inclinare φ al semioglinzii S2, de numarul de traversari ale modelului, cit si de distanta dintre oglinzi. Toti acesti factori fac ca in cazul unor multiplicari de sapte rezultatele obtinute prin utilizarea acestei metode sint de asemenea determinate de calitatea semioglinzilor depinzind foarte mult de coeĢicientii de reflexie R si de transmisie T ai acestora. Astfel, pentru obtinerea unui factor de multiplicare egal cu cinci, care este suficient pentru majoritatea aplicatiilor, se recomanda folosirea unui set de semioglinzi avind coeficientul de reflexie R = 0,67, respectiv de transmisie T = 0,33, in care una din semioglinzi sa fie inclinata.cu un unghi
Prin utilizarea semioglinzilor in polariscopul cu lumina polarizata circular se mai pot obtine si alte efecte optice deosebit de importante pentru cercetarile de fotoelasticitate, cum este efectul de ,,ascutire a franjelor'. Astfel daca cele doua semioglinzi sint paralele intre ele, datorita reflexiilor multiple ale razelor care strabat modelul, se obtine o subtiere pronuntata a franjelor albe si negre care apar simultan pe un fond gri. In felul acesta utilizind efectul ,,ascutirii franjelor' se pot obtine pe aceeasi fotografie franje intunecate care corespund la valorile 0 ; 1; 2 ; 3, etc. ale ordinului de banda si franje luminate care corespnnd la valorile ordinului de banda ―;3/2;5/2 etc.
5. SEPARAREA TENSİUNİLOR PRİNCİPALE FOLOSİND DETERMİNĀRİLE FOTOELASTİCE
Dupa cum s-a aratat in paragrafele precedente, prin metoda fotoelastica se pot determina directiile principale, cu ajutorul izoclinelor si diferenta tensiunilor principale σ - σ2, cu ajutorul izocromatelor. Pentru

cunoasterea starii de tensiuni in orice punct al modelului trebuie determinate valorile individuate si σ2 ale tensiunilor principale. Cu exceptia contururilor neincarcate, in lungul carora se pot determina tensiunile principale direct din determinarile fotoolastice, separarea tensiunilor principale se face fie utilizind ecuatiile diferentiale de echilibru pentru starea plana de tensiuni, fie folosind alte metode auxiliare prin care se determina suma tensiunilor principale , asa cum se va vedea in paragraful 6.
5.1. DETERMINAREA TENSIUNILOR PE UN CONTUR NEINCĀRCAT
Se stie ca, in general, tensiunile maxime apar pe conturul pieselor si de aceea, din punct de vedere practic, pentru dimensionarea corecta a pieselor, este importanta cunoasterea acestor tensiuni. Curba de variatie a tensiunilor pe conturul neincarcat al unei piese se poate trasa cu usurinta cu ajutorul izocromatelor obtinute prin fotoelasticitate.
Daca se considera, un element de volum marginit de conturul neincarcat al unei piese, supusa la o stare plana de tensiune (fig. 32, a), atit tensiunea normala σy cit si cea tangentiala π sint nule. Prin urmare, conturul in acest caz este o fata principala. Cercul lui Mohr fiind tangent in origine la axa π (fig. 32, b), rezulta ca diferenta tensiunilor principale (σ - σ2)c pe acest contur, este egala cu tensiunea principala orientata dupa directia tangentei la contur. Daca un punct i de pe contur este intersectat de izocromata de
ordinul k (fig. 33), tensiunea in acest punct are valoarea
(σ1i)c=k σ (55)
unde σ este
Reprezentind la scara valorile (σ1)c calculate in punctele de intersectie ale izocromatelor cu conturul, se obtine diagrama de variatie a. tensiunilor pe conturul neincarcat (fig. 33).
Semnul tensiunilor pe contur se poate deduce, in general, din modul de solicitare a piesei. Cind acest lucru nu e posibil, se poate folosi metoda ,,probei cu virf ascutit'. Pentru aceasta se apasa conturul cu virful unei surubelnite, de exemplu. si se urmareste evolutia izocromatelor.
Figura 33
Presupunind ca tensiunea principala σ orientata dupa tangenta la contur este pozitiva, starea de tensiuni poate fi reprezentata prin cercul trasat cu o linie continua in fig. 34, a. Tensiunea normala la contur σ produsa de virf, fiind de compresiune va avea ca efect marirea diametrului cercului, trasat cu linie intrerupta in aceeasi figura, ceea ce inseamna marirea ordinului izocromatei pe contur. In cazul ca ordinul izocromatelor este crescator spre contur, ca in fig. 34, b, se observa ca izocromata de pe contur este deplasata spre interior, in locul ei aparind izocromata de ordin superior.
Daca tensiunea principala σ2 paralela cu tangenta la contur este de compresiune, deci negativa, starea de tensiuni pe contur este reprezentata prin cercul trasat cu linie continua in fig. 34, c. Aplicarea pe contur a unei sarcini de compresiune face ca diametrul cercului sa se micsoreze si sa scada ordinul izocromatei. Daca se considera, ca si in cazul precedent, ca ordinul izocromatelor create spre contur, in punctul in care se aplica sarcina de compresiune, izocromatele din interior se vor deplasa catre contur, ca in fig 3 d.
Aceasta metoda de stabilire a semnului tensiunilor pe contur poate fi folosita mai ales atunci clnd izocromatele au un traseu aproximativ paralel cu conturul si ordinul izocromatei pe contur corespunde unei tensiuni mai mari decit cea care se naste prin apasarea virfului.
|
|


Fig. 3
5. METODA DIFERENTEI TENSIUNILOR TANGENTIALE
Metoda diferentei tensiunilor tangentiale, elaborata de Frocht, permite determinarea tensiunilor principale pe o directie oarecare din model, pornind de la un punct in care aceste tensiuni sint cunoscute, de exemplu de pe un contur neincarcat.
Integrind prima din
ecuatiile (56) se
obtine 

sau, exprimind pe (58) prin diferente finite (fig. 36), rezulta :
unde σx|x1 si σx|x sint tensiunile normale in punctele x1 respectiv x0 de pe directia aleasa, Δx,Δy sint intervalele finite pe directiile x respectiv y.

Deci, tensiunea normala intr-un punct x1 se poate calcula cunoscind tensiunea in punctul x0 precum si variatia tensiunii tangentiale πxy pe
directia y, in mijlocul intervalului {la
Daca punctul initial x0 se ia pe contur, tensiunea principala paralela cu tangenta la contur se poate determina cu relatia (55) cunoscind ordinul izocromatei pe contur.In cazul ca directia aleasa x, este normala la contur, σ2|x0= x|x0 0. Daca axa y face un unghi α0 cu tangenta la contur, iar tensiunea principala paralela cu tangenta este σ1|xo,tensiunea σx|Xo se calculeaza cu relatia:
σx|Xo σ1|xo sinēαo (60)
Tensiunile tangentiale pe directiile AB respectiv CB se pot determina cunoscind izocromatele si izoclinele care intersecteaza aceste directii, cu relatia:
(61)
Diferenta tensiunilor principale in punctul considerat k, se deduce din ordinul izocromatei cu relatia
σ1 - σ2 =k σo (62)
unghiul α fiind parametrul izoclinei in acelasi punct.
Trecand la punctul x se poate scrie relatia:
(63)
Cu care se determina σx|X2 procedand analog ca pentru σx|X1 Procedeul se repeta pentru celelalte puncte de pe directia x. Pentru verificare este bine ca punctul final sa se gaseasca tot pe un contur neincarcat in care tensiunile sint cunoscute.
Tensiunile σy se calculeaza cu relatia:
σy= σx -( σ1 - σ2)cos 2α= σx-k σo cos 2α (64)
unde, asa cum s-a aratat mai sus, k este ordinul izocromatei, αa
este
σx + σy= σ1+ σ2 (65)
Pe de alta parte, diferenta tensiunilor principale rezulta din relatia
Rezolvind sistemul format din ecuatiile (62) si (65) se obtine valorile individuale ale tensiunilor principale:
(66)
Pentru sistematizarea calculelor se poate. proceda astfel (fig. 37, a). Se traseaza pe o foaie de calc izoclinele si izocromatele pentru domeniul in care urmeaza sa se determina tensiunile principale. Se traseaza dreapta in lungul careia se vor calcula tensiunile principale si se divizeaza intr-un numar de segmente egale Δx.De asemenea se mai duc liniile AB si D,paralele uc directa aleasa,la distanta Δx= Δy In general, prin nodurile retelei astfel obtinute nu trec nici izocline si nici izocromate stfel ca determinarea directiilor principale si a ordinului izocromatelor in noduri se face prin interpolare. Pentru aceasta, se traseaza curbele de 'variatie a unghiului directiilor principale in lungul segmentelor AB si respectiv CD, (fig. 37, b), precum si curbele de variatie a ordinului izocromatelor (fig.. 37, c). Unghiurile α (parametrii izoclinelor) precum. si ordinul k al izocromatelor in punctele 1', 2', 3', si 1', 2', 3', de pe direcfiiile AB respectiv CD, se trec de regula intr-un tabel (tabelul 2). Cu aceste valori se calculeaza tensiunile tangentiale in aceleasi puncte.
Tensiunile σx si σy din tabelul 2 au fost determinate mai intai in functie de ordinul izocromatei (coloanele 7, 12 si 14), iar apoi prin multiplicare cu σ0 = 15 daN/cm2·franje au fost calculate in daN/cm2 (coloanele 13, 15, 16). In final, in coloanele 17 si 18 sint date tensiunile principale σ si calculate cu relatiile (66).
Precizia rezultatelor obtinute prin metoda descrisa depinde de precizia cu care sint inregistrate izoclinele si izocromatele deoarece erorile se cumuleaza. Deoarece in calcule nu sint necesare decit izoclinele si izocromatele care, in general, se pot inregistra cu suficienta exactitate, metoda este relativ simpla iar precizia este comparabila cu cea data de alte metode, astfel ca majoritatea autorilor o recomanda pentru separarea tensiunilor principale.
FIGURA 37
Sistematizarea calculelor pentru determinarea valorilor individuale ale tensiunilor principale
Tabel
2
5.3. METODA APROXİMATİVĀ ,,RAPID'
Metoda ,,Rapid', elaborata tot de Frocht , poate fi utilizata pentru separarea tensiunilor principale in sectiunile de simetrie in cazul barelor de sectiune dreptunghiulara cu crestaturi, sau cu gauri simetrice, solicitate la intindere sau la compresiune axiala precum si la incovoiere pura. Aceste seetiuni corespund unei directii principale.
Folosind izocromatele (fig. 38) se traseaza curba de variatie a dife-

Fig. 38
rentei tensiunilor principale in sectiunea de simetrie (fig. 39). Din. Identitatea
σ1= (σ1 - σ2 σ2 (67)
rezulta relatia dintre ordonatele curbelor, care reprezinta variatia tensiu-nilor σ1 , σ respectiv σ1 - σ Derivind relatia (67) rezulta si relatia intre pantele tangentelor la aceste curbe:
(68)
folosind determinarile foloelestice(ordinul de banda k si parametrul izoclinelor α) Tab.

sau, folosind notatiile din fig. 39.
tg a = tg β- tgγ (69)
Tinand seama si de conditiile po contur, se obtin elemente suficiente pentru trasarea aproximativa a curbelor σ1 si σ2, care se corecteaza apoi verificand indeplinirea simultana a conditiilor date de relatiile (67), (68). Asa cum s-a aratat, pe un contur neincarcat se pot separa tensiunile principale, una din tensiuni (cea normala la contur) fiind nula. In aceste puncte se poate determina si unghiul y dintre axa de simetrie si tangenta la curba de variatie a tensiunii principale normala la contur.
Constructia este usurata, daca se cunosc in plus puncte in care tensiunea σ2 are valori extreme. Conform teoremei lui Mesnager o tensiune principala are un maxim in punctele in care izostatica si izoclina corespnnzatoare se intersecteaza in unghi drept.
In fig 39 s-au trasat curbele σ si σ pentru cazul din fig. 38 al unei bare de sectiune dreptunghiulara cu crestaturi laterale in ,,V" rotunjite la baza cu o raza de racordare ρ, solicitata la incovoiere pura.

Fig. 39.
5.METODA DE INTEGRARE DE-A LUNGUL UNEİ İZOSTATİCE
Metoda Consta in integrarea ecuaciilor L'ame-Maxwell in lungul unei izostatice . Spre deosebire de metodele descrise in paragrafele precedente, la care era suficienta cunoasterea izoclinelor si a izocromatelor, la aceasta metoda trebuie sa se traseze izostaticele cu metoda descrisa in paragraful
Considerind o izostatica S1 (fig. 40) care porneste dintr-un punct 0, situat pe contur, precum si izostaticele de speta a doua care o intersecteaza in punctele 1,2,3, prin integrarea primei ecuacii Lame-Maxwell se obtine:
(70)
Sau,cu diferente finite:
(71)
Daca se cunoaste tensiunea intr-un punct S10 si valoarea medie a
Raportului [(σ1 - σ2)/ρ2] pe intervalul Δs1; ,se poate calcula tensiunea σ 1|s in punctul S de pe izostatica S (fig. 40).

Fig. 40.
Rationamentul se repeta pentru punctele urmatoare. Daca punctul initial se ia pe un contur neincarcat, valoarea σ1 |sl1 se determina direct daca se cunoaste ordinul izocromatei in acel punct cu relatia cunoscuta (55). De asemenea, diferenta tensiunilor principale se determina tot din tabloul izocromatelor cu relatia (62).
In cazul ca prin punctul considerat nu trece nici o izocromata, ordintul k, al izocromatei se poate determina prin interpolare, trasind curba de variable a ordinului izocromatelor in lungul izostaticei alese. Mai dificila este determinarea cu precizie a razelor de curbura p2 ale izostaticelor de speta a doua.
Pentru efectuarea calculelor se poate folosi metoda tabelara, ca la metoda diferentei tensiunilor tangentiale, sau se reprezinta diagrama de variatie a valorilor si se planimetreaza aria marginita, Ω fig. 41), care reprezinta valoarea integralei din membrul al doilea al relatiei
Tensiunea intr-un punct i, σ1 |Sli va fi data de relatia:
σ |Sli = 1|S10 - (72)
5.5. METODA DE NTEGRARE DE-A LUNGUL UNE ZOSTAT CE FOLOSİND UNGHİUL DİNTRE İZOCLİNE Sİ İZOSTATİCE
Ecuatiile Lame-Maxwell pot fi puse si sub o alta forma, cea data de Filon. Daca se considera elementul limitat de doua perechi de izostatice si se scriu elementele de arc sub forma ds1 = ρ dα1, ds2 = ρ 2dα2

ecuatiile (57) devin
(73)
Fie α parametrul izoclinei care trece prin originea sistemului (fig, 42) si α + Δα parametrul izoclinei care trece prin punctul A. Unghiurile dintre tangentele la izostatice vor fi egale cu Δα. Daca se noteaza cu Ψ unghinl dintre tangentele in 0 la izostatica S si la izoclina si cu Ψ' unghiul dintre tangenta in B la izostatica S2 si izoclina (fig. 42) pentru Δs1 = ds1 si
Δs2 = ds2 se poate considera ca unghiul OAB = 180° - Ψ, iar unghiul - 90˚ si deci
(Δs1/Δs2)=ctg (180˚ - Ψ)=- ctg Ψ (74)
De asemenea, din figura 42 mai rezulta si relatia:
Relatia 74
Termenul (σ1 - σ2) ctg ΨΔα reprezinta valoarea medie a produsului pentru punctele S10 si S11.
Figura 44
Pentru a aplica aceasta metoda, se traseaza in lungul izostaticei izoclinele consecutive, al caror parametru difera cu . In punctele de intersectie se determina ordinul izocromatei si unghiul dintre izostatica si
Figura. 43
izoclina (fig. 43). Daca punctul 0 se afla pe contur,
σ1|S se poate calcula cunoscind ordinul izocromatei si
Datele pot fi trecute intr-un tabel, asemanator cu cel utilizat la metoda diferentei tensiunilor tangentiale, sau se poate trasa curba de variable a valorilor (σ1 - σ2) ctg Ψ in functie de parametrul izoclinelor. Aria Ωi marginita de aceasta curba, (fig. 44),permite calculul tensiunilor principale intr-un punct oarecare i cu relatia
σ1| s1i =σ |S i
Metoda da rezultate bune in cazul cind unghiurile Ψ au valori apropiate de 90°. In cazurile in care unghiurile sint mici, deci izoclinele sint aproape paralele cu izostatica, erorile la determinarea valorilor ctg sint mari. In aceste cazuri se recomancla folosirea metodei descrisa in paragraful urmator.
5.6. A DOUA METODA DE INTEGRARE IN LUGUL
UNEI IZOSTATICE
Metoda a fost elaborata tot de Filon si se poate aplica in cazul sectiunilor de simetrie, care sint si izostatice si in lungul caror a unghiurile dintre izocline si izostatice sint mici. Ecuatiile Lame-Maxwell se pun sub urmatoarea forma, tinind seama de relatiile dintre elementele de arc, razele de curbura si parametrul izoclinei
Rel. 76
Integrand prima dintre aceste ecuatii se obtine:
Rel.77
Ca si in cazurile precedente se porneste de pe un contur neincarcat, in care se cunoaste valoarea tensiunii principale, iar intervalele Δs1 se pot lua egale. In punetele 0,1, 2, se determina ordinul izocromatelor si lungimea arcului de izostatica s2 limitat de doua izocline succesive. Pentru o precizie satisfacatoare parametrul izoclinelor trebuie sa varieze cu mai putin de 5' (Δα = 5°). Aplicind metoda tabelara se pot calcula succesiv tensiunile principale in punctele 0, 1,2, De asemenea, se poate reprezenta curba de variatie a valorilor
Figura 45
Figura 46
(σ1 - Δα / Δs2) in lungul izostaticei si sa se planimetreze aria marginita, Qi (fig. 46).
5.7. METODA İNCİDENTEİ OBLİCE
Dupa cum s-a aratat, atunci cind un model fotoelastic plan este traversal prin incident a normala de un fascicul de lumina polarizata,legatura dintre diferenta tensiunilor principale si ordinul de banda intr-un puuct P, este data de relatia (45). Tinind seama de (45) si (46) se poate scrie:
|
|
Fig. 47.
= k(σo'/h) (78)
sau notand A1=(
rezulta A1 - A2=k (80)
Considerind tensiunea principala σ3 = 0, se roteste modelul fotoelastic cu unghiul Φ in jurul directiei tensiunii principale σ1 (fig. 47).Lungimea drumului parcurs de lumina prin model in acest caz va fi h/cosΦ, iar tensiunile principale din planul principal pe directia de propagare a luminii sint σ1si σ cos2 Φ. Inlocuind aceste valori in expresia (78) si notind cu k ordinul de banda, determinat in acelasi punct P, prin incidenta oblica , se obtine:
Sau tinand seama de (79) se mai
poate scrie
Din (80) si (81) se obtine:
Sau tinand seama de (46) se obtine
(83)
In felul acesta. cu ajutorul expresiilor (83) pot fi determinate valorile individuale ale tensiunilor σ1 si σ2 intr-un punct P, atunci cind se cunosc valorile ordinelor de banda inregistrate in acest punct prin cele doua moduri de incidenta (normala si oblica) si unghiul cu care se roteste modelul.Daca modelul se roteste in jurul directiei tensiunii principale σ2, notind cu k2 ordinul de banda citit in acest caz in punctul P, valorile individuale ale tensiunilor principale vor fi date de urmatoarele expresii care se deduc asemanator.
(84)
Dupa cum s-a. mai putut observa pentru determinarea valorilor individuale ale tensiunilor principale intr-un punct din model, este necesar sa se cunoasca in prealabil directiile acestor tensiuni in punctul considerat. Pentru a obtine o diferenta cit mai mare intre ordinele de banda (k si k1) citite prin cele doua moduri de incidenta, se recomanda sa se lucreze cu unghiuri de incidenta ale luminii cit mai mari. Uneori marimea unghiulul de incidenta este limitata de neclaritatea franjelor, care apar estompate in zonele in care gradientul tensiunilor este ridicat. Alegerea acestui unghi se face in functie de geometria modelului si modul de incarcare, astfel ca franjele observate prin incidenta oblica sa apara cit mai clare. In aplicarea acestei metode trebuie sa se tina seama de fenomenul de refractie care apare la intrarea si iesirea luminii din model. Neglijarea fenomenului de refractie poate uneori sa conduca la erori importante in determinarea valorilor individuale ale tensiunilor. De aceea pentru eliminarea acestui efect, mai ales in cazul in care se lucreaza cu unghiuri mari de incidenta, se recomanda introducerea modelului fototoelastic intr-o cuva cu pereti transparenti in care se afla un lichid cu indicele de refractie egal cu cel al materialului fotoelastic. Cuva trebuie sa aiba peretii plani, iar lumina polarizata sa intre in cuva prin incidenta normala.
In practica experimentala, pentru determinarea tensiunilor principale prin incidenta oblica, uneori se mai folosesc polariscoape construite special , care utilizind metoda lui Favre, masoara intirzierea dintre cele doua componente ale luminii care traverseaza modelul prin incidenta oblica. Acest tip de polariscop prezinta dezavantajul ca reduce analiza fotoelastica obisnuita la o analiza punct cu punct.
Acest document nu se poate descarca
| E posibil sa te intereseze alte documente despre: |
| Copyright © 2025 - Toate drepturile rezervate QReferat.com | Folositi documentele afisate ca sursa de inspiratie. Va recomandam sa nu copiati textul, ci sa compuneti propriul document pe baza informatiilor de pe site. { Home } { Contact } { Termeni si conditii } |
Documente similare:
|
ComentariiCaracterizari
|
Cauta document |