| Administratie | Alimentatie | Arta cultura | Asistenta sociala | Astronomie |
| Biologie | Chimie | Comunicare | Constructii | Cosmetica |
| Desen | Diverse | Drept | Economie | Engleza |
| Filozofie | Fizica | Franceza | Geografie | Germana |
| Informatica | Istorie | Latina | Management | Marketing |
| Matematica | Mecanica | Medicina | Pedagogie | Psihologie |
| Romana | Stiinte politice | Transporturi | Turism |
Rentabilitatea si riscul valorilor mobiliare
Rentabilitatea si riscul valorilor mobiliare
1. Rentabilitatea valorilor mobiliare
2. Riscul asociat investitiilor in valori mobiliare
3. Dispersia si abaterea medie patratica
Rentabilitatea valorilor mobiliare
Dividendele obtinute
Cresterea de capital (capital gain)

![]()
unde:
![]()
Pentru o perioada de detinere mai mare de o perioada:

sau:

Rata anuala a rentabilitatii
moduri:
1. Prin utilizarea mediei geometrice
Ra = rata anuala de rentabilitate
RT = rata totala de rentabilitate
2. Prin utilizarea mediei aritmetice

Ra = rata anuala medie a rentabilitatii
RT = rata totala de rentabilitate
Atentie!
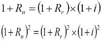
Pentru exprimarea rentabilitatii anuale in termini nominali (preturi curente), trebuie tinut cont de rata inflatiei (relatia lui Fisher):
Rr = rata anuala reala estimata
Rentabilitatea estimata

Riscul valorilor mobiliare
neutra
adversa
preferabila

sau, altfel scris:



Exemplu:
o actiune inregistreaza urmatoarele variatii de pret saptamanale, timp de 52 de saptamani:

1. Valoarea medie a rentabilitatii (rentabilitatea estimata):

2. Dispersia:
3. Abaterea medie patratica:
![]()

Acest document nu se poate descarca
| E posibil sa te intereseze alte documente despre:
|
| Copyright © 2025 - Toate drepturile rezervate QReferat.com | Folositi documentele afisate ca sursa de inspiratie. Va recomandam sa nu copiati textul, ci sa compuneti propriul document pe baza informatiilor de pe site. { Home } { Contact } { Termeni si conditii } |
Documente similare:
|
ComentariiCaracterizari
|
Cauta document |